Electrical Impedance Study on Whole Blood Cells and Red Blood Cells during Storage in Refrigerator
DOI:
https://doi.org/10.48048/tis.2024.7267Keywords:
Electrical impedance, Blood cell storage, MCHC, Whole blood, Nyquist, EISAbstract
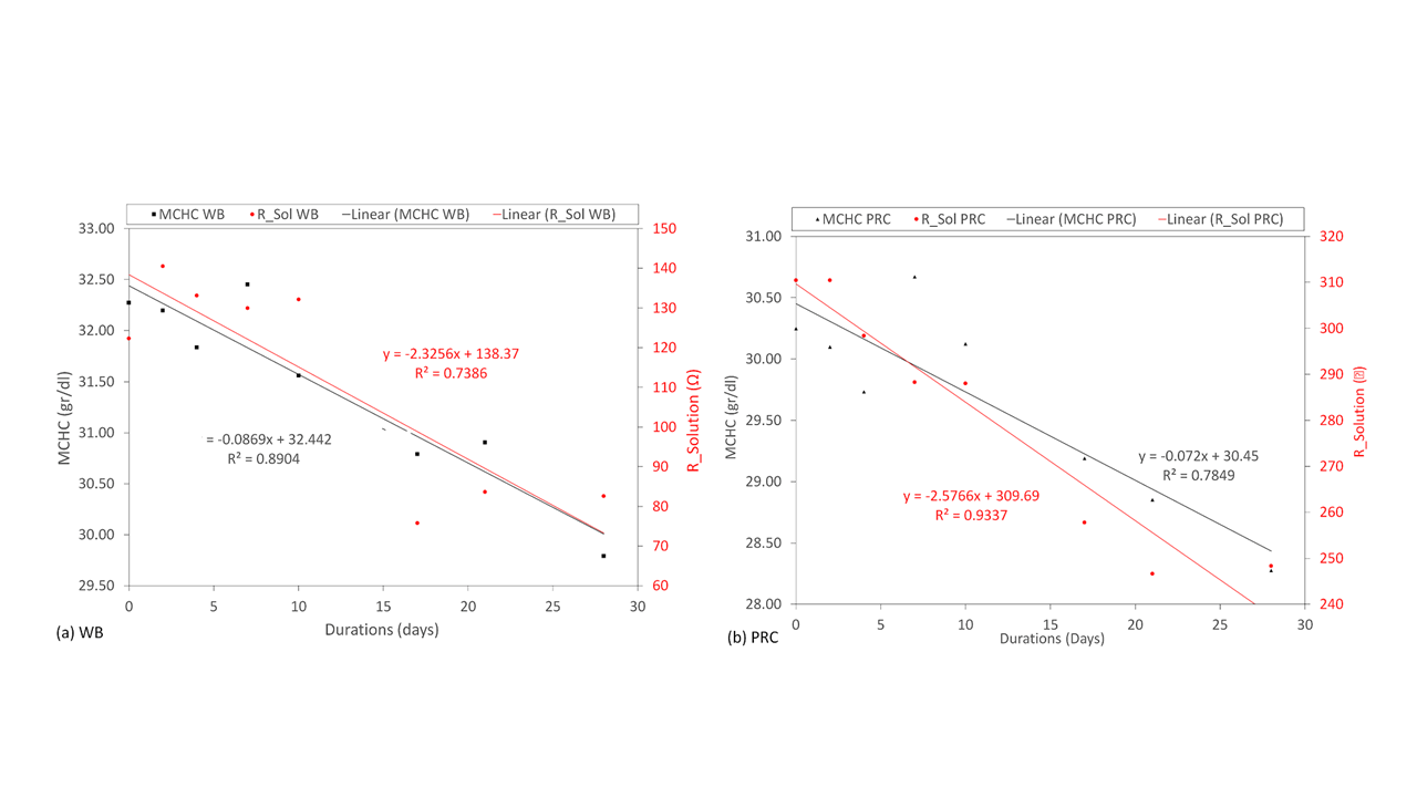
Doctors or health laboratory workers usually carry out manual blood examinations, who cell morphology parameters by eye. Electrical impedance spectroscopy has been proposed to assist doctors in examining blood damage. The effect of storage on blood cells will be evaluated using an electrical impedance measurement system on blood cells. The results of electrical impedance measurements will be correlated with the quality and quantity of blood cells, namely the mean corpuscular hemoglobin concentration (MCHC) value. Three bags of complete blood cell packages (from different donors) and 1 bag of red blood cell packages were used as blood samples. All blood samples using citrate phosphate dextrose adenine (CPDA) anticoagulant were obtained from the Indonesian Red Cross, Malang City Branch. Electrical impedance and cell-count measurements were performed on Day 0 (before being put into the refrigerator) and on Days 2, 4, 7, 10, 17, 21 and 28 after being placed in the fridge. Electrical impedance was measured using Bio-Impedance Spectroscopic Data Acquisition (BISDAQ). As the duration of storage increases, the MCHC value tends to decrease. The total impedance tends to decrease with increasing storage duration; the total impedance on Day 28 shows the lowest value. In general, the resistance value of the solution is correlated with the MCHC value of the blood cells. The escape of some material in the cell to the solution outside the cell results in a decrease in the resistance properties of the solution, according to the study’s results. The total electrical impedance decreases with increasing storage duration. Storage duration affects the quality and quantity of blood cells. The MCHC value of blood cells decreased with increasing storage duration. The value of MCHC is strongly correlated with the value of the external solution resistance of the cell.
HIGHLIGHTS
- The total electrical impedance decreases with increasing storage duration
- Storage duration affects the quality and quantity of blood cells
- The MCHC value is strongly correlated with the value of the external solution resistance of the cell. The decrease in the MCHC value results in a reduction in the value of the external solution resistance of the cell
GRAPHICAL ABSTRACT
Downloads
References
A Zhbano and S Yang. Effects of aggregation on blood sedimentation and conductivity. PLoS One 2015; 10, e0129337.
D Ringaitiene, L Puodziukaite, V Vicka, D Gineityte, M Serpytis and J Sipylaite. Bioelectrical impedance phase angle-predictor of blood transfusion in cardiac surgery. J. Cardiothorac. Vasc. Anesth. 2019; 33, 969-75.
BA Mei, O Munteshari, J Lau, B Dunn and L Pilon. Physical interpretations of Nyquist plots for EDLC electrodes and devices. J. Phys. Chem. C 2018; 122, 194-206.
J Pengon, S Svasti, S Kamchonwongpaisan and P Vattanaviboon. Hematological parameters and red blood cell morphological abnormality of Glucose-6-Phosphate dehydrogenase deficiency co-inherited with thalassemia. Hematol. Oncol. Stem Cell Ther. 2018; 11, 18-24.
R Sawant, S Jathar, S Rajadhyaksha and P Kadam. Red cell hemolysis during processing and storage. Asian J. Transfus. Sci. 2007; 1, 47-51.
SH Arif, N Yadav, S Rehman and G Mehdi. Study of hemolysis during storage of blood in the blood bank of a tertiary health care centre. Indian J. Hematol. Blood Transfus. 2017; 33, 598-602.
VL Tzounakas, AT Anastasiadi, PV Drossos, DG Karadimas, SÉ Valsami, KE Stamoulis, IS Papassideri, M Politou, MH Antonelou and AG Kriebardis. Sex-related aspects of the red blood cell storage lesion. Blood Transfus. 2021; 19, 224-36.
P Gultawatvichai, MF Tavares, PJ DiQuattro, TC Cheves and JD Sweeney. Hemolysis in in-date RBC concentrates. Am. J. Clin. Pathol. 2018; 149, 35-41.
L Liao, Y Xu, H Wei, Y Qiu, W Chen, J Huang, Y Tao, X Deng, Z Deng, H Tao and F Lin. Blood cell parameters for screening and diagnosis of hereditary spherocytosis. J. Clin. Lab. Anal. 2019; 33, e22844.
YP Lad, A Shetty, N Patel, B Iqbal and C Gore. Effect of room temperature and refrigerated storage on automated hematological parameters and peripheral blood smear examinations. J. Pharm. Negative Results 2022; 13, 9-17.
Y Kwag, J Oh, W Yang, Y Kim, EH Ha and S Ye. Effect of PM concentration on anemia blood indicators reduced by air purifiers. Chemosphere 2023; 323, 138131.
Q Zhang, N Ding, L Zhang, X Zhao, Y Yang, H Qu and X Fang. Biological databases for hematology research. Genom. Proteomics Biol. 2016; 14, 333-7.
CG Millán, DG Bravo and JM Lanao. New erythrocyte-related delivery systems for biomedical applications. J. Drug Deliv. Sci. Tech. 2017; 42, 38-48.
IT Ivanov and B Paarvanova. Dielectric relaxations on erythrocyte membrane as revealed by spectrin denaturation. Bioelectrochemistry 2016; 110, 59-68.
Y Man, D Maji, R An, SP Ahuja, JA Little, MA Suster, P Mohsenibe and UA Gurkan. Microfluidic electrical impedance assessment of red blood cell-mediated microvascular occlusion. Lab Chip 2021; 21, 1036-48.
Z Zhu, X Xu, L Fang, D Pan and QA Huang. Investigation of geometry-dependent sensing characteristics of microfluidic electrical impedance spectroscopy through modeling and simulation. Sensor. Actuator. B Chem. 2016; 235, 515-24.
I Voiculescu, F Li and AN Nordin. Impedance spectroscopy of adherent mammalian cell culture for biochemical applications: A review. IEEE Sensor. J. 2021; 21, 5612-27.
CS Widodo, DR Santoso, W Sugianto and AYP Wardoyo. A study on electrical impedance in ripening Ambon bananas (Musa paradisiaca var. Sapientum) processes stimulated by ethrel (2-chloroethyl phosphonic acid). GEOMATE J. 2020; 18, 39-44.
S Zhang, G Li, J Wang, D Wang, Y Han, H Cao and L Lin. Nondestructive measurement of hemoglobin in blood bags based on multi-pathlength VIS-NIR spectroscopy. Sci. Rep. 2018; 8, 2204.
W Sugianto, CS Widodo, DR Santoso and WH Sela. Preliminary study to detect quantity of erythrocyte using interdigitated electrode by electrical impedance spectroscopy method. In: Proceedings of the 2nd International Conference on Physical Instrumentation and Advanced Materials, Surabaya, Indonesia. 2019, p. 30015.
SW Herenda, CS Widodo, DR Santoso and W Sugianto. Preliminary study of the effect long storage of whole blood cell using anti-coagulant EDTA on blood impedance by the electrical impedance spectroscopy method. In: Proceedings of the 2nd International Conference on Physical Instrumentation and Advanced Materials, Surabaya, Indonesia. 2019, p. 30014.
M Hasanzadeh and N Shadjou. Electrochemical nanobiosensing in whole blood: Recent advances. TrAC Trends Anal. Chem. 2016; 80, 167-76.
SE McKenzie. Pediatric secrets. Elsevier, Pennsylvania, 2011, p. 302-36.
DR Santoso, B Pitaloka, CS Widodo and UP Juswono. Low-cost, compact, and rapid bio-impedance spectrometer with real-time bode and nyquist plots. Appl. Sci. 2020; 10, 878.
AS Bondarenko and GA Ragoisha. EIS Spectrum Analyser, Available at: http://www.abc.chemistry.bsu.by/vi/analyser, accessed July 2021
AM Diks, C Bonroy, C Teodosio, RJ Groenland, BD Mooij, ED Maertelaere, J Neirynck, J Philippé, A Orfao, JJMV Dongen and MA Berkowska. Impact of blood storage and sample handling on quality of high dimensional flow cytometric data in multicenter clinical research. J. Immunol. Methods 2019; 475, 112616.
Downloads
Published
How to Cite
Issue
Section
License
Copyright (c) 2023 Walailak University

This work is licensed under a Creative Commons Attribution-NonCommercial-NoDerivatives 4.0 International License.



