The Role of Assimilate Dynamic in Rice Grain Filling Under Two Nitrogen Conditions
DOI:
https://doi.org/10.48048/tis.2023.5337Keywords:
Dry weight, Yield, Carbohydrate, Non structural carbohydrate, VarietyAbstract
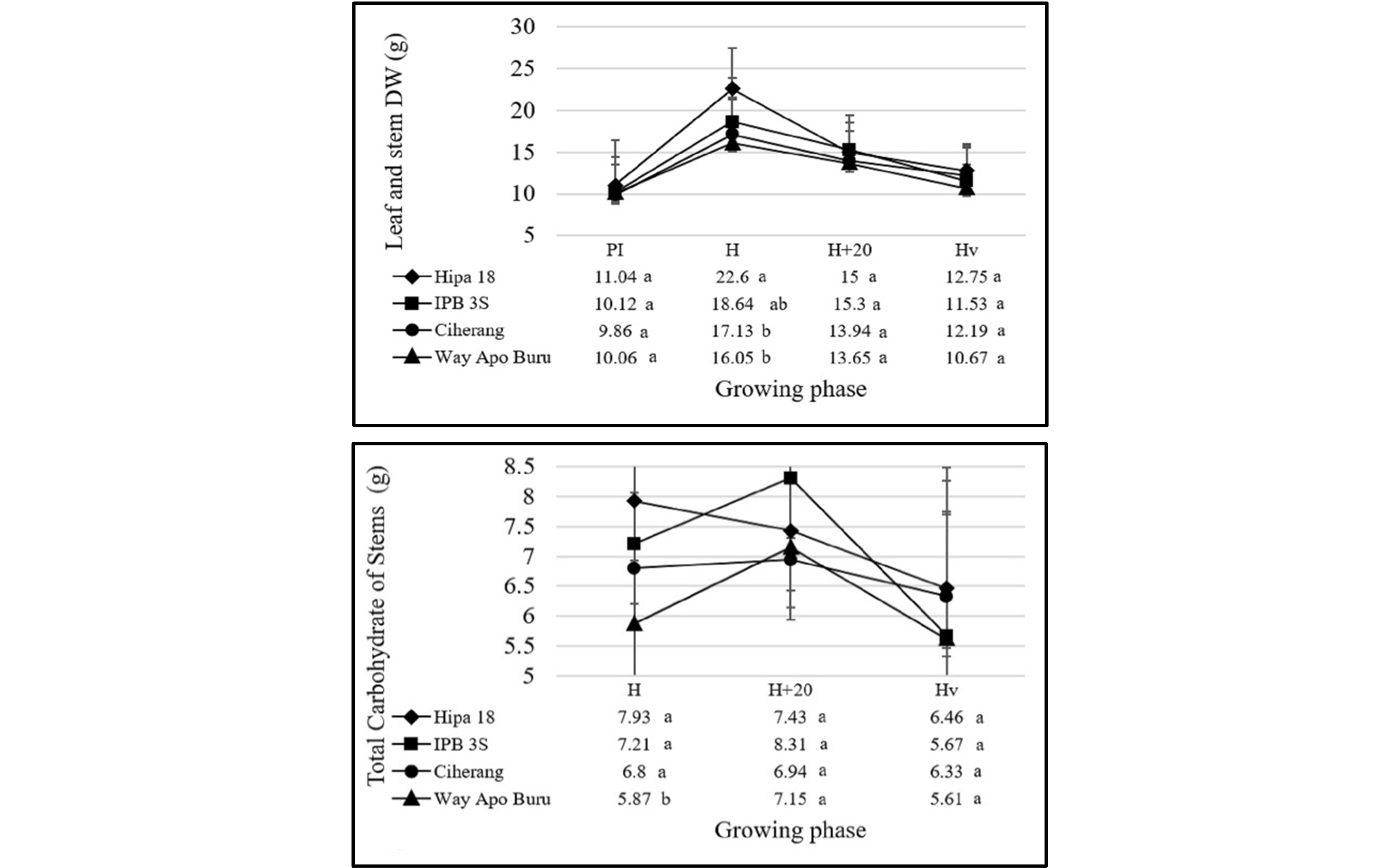
The assimilate obtained during the grain filling phase is sourced from photosynthesis and Non Structural Carbohydrate (NSC) reserves produced during the vegetative phase in the vegetative organs. Assimilate from different sources plays different roles in the grain filling process. This study aims to investigate varietal difference on assimilate distribution, nitrogen response and yield performance. The experiment was carried out in the rice fields of Petapahan Village, Kampar Regency, Riau. The experimental design used was a split-plot in randomized complete block design (RCBD) with 2 factors and 3 groups. The first factor, as the main plot, was the condition of N. Specifically without N (NoN) (0 kg ha−1 urea) and treatment with normal N (NN) (250 kg ha−1 urea). The second factor, as a sub-plot, was rice variety, spesifically Hipa 18, IPB 3S, Ciherang, and Way Apo Buru. Hipa 18 was a variety having the largest reserves of NSC. A positive correlation was found between plant characters observed in this research, they are stem and leaf dry weight, total carbohydrates in stems (proximate analysis), photosynthetic rate, and leaf nitrogen content (Kjeldahl method). As well as other agonomic characters such as leaf area index and yield components. The highest dry weight of stems and leaves of Hipa 18 was at the heading phase, 22.6 g. While the highest carbohydrate content of the stems of the variety was 7.93 g in the same phase. This large NSC reserve supported the largest sinks as well at Hipa 18. However, the source capacity of the varieties used was found to be lower than the sink capacity. It was also known that nitrogen affected the condition of all plant characters observed in this study. Therefore optimal nitrogen fertilization is needed to get a maximum yield.
HIGHLIGHTS
- Production of dry matter through photosynthesis and remobilization of assimilate from vegetative organs are the main sources of grain filling
- There was a greater amount of assimilate remobilization in Hipa 18 compared to IPB 3S, Ciherang, and Way Apo Buru
- The yield was positively correlated with plant height at harvest, stem and leaf dry weight, leaf N content, leaf area index, total stem carbohydrates, and photosynthesis
GRAPHICAL ABSTRACT
Downloads
References
W Yang, S Peng, ML Dionisio-Sese, RC Laza and RM Visperas. Grain filling duration, a crucial determinant of genotypic variation of grain yield in field-grown tropical irrigated rice. Field Crop. Res. 2008; 105, 221-7.
D Wang, MRC Laza, KG Cassman, J Huang, L Nie, X Ling, GS Centeno, K Cui, F Wang, Y Li, and S Peng. Temperature explains the yield difference of double-season rice between tropical and subtropical environments. Anim. Feed Sci. Tech. 2016; 218, 70-83.
H Xu, Z Wang, F Xiao, L Yang, G Li, Y Ding, MJ Paul, W Li and Z Liu. Dynamics of dry matter accumulation in internodes indicates source and sink relations during grain-filling stage of japonica rice. Field Crop. Res. 2021; 263, 108009.
K Mengel, EA Kirkby, H Kosegarten and T Appel. Principles of plant nutrition. Springer Dordrecht, Dordrecht, 2001.
M Okamura, Y Arai-Sanoh, H Yoshida, T Mukouyama, S Adachi, S Yabe, H Nakagawa, K Tsutsumi, Y Taniguchi, N Kobayashi and M Kondo. Characterization of high-yielding rice cultivars with different grain-filling properties to clarify limiting factors for improving grain yield. Field Crop. Res. 2018; 219, 139-47.
JH Cock, and S Yoshida. Accumulation of 14C-labelled Carbohydrate Before Flowering and its Subsequent Redistribution and Respiration in the Rice Plant. Jap. J. Crop Sci. 1972; 41, 226-34.
DR Wang, R Han, EJ Wolfrum and SR Mccouch. The buffering capacity of stems: Genetic architecture of nonstructural carbohydrates in cultivated Asian rice, Oryza sativa. New Phytologist 2017; 215, 658-71.
G Li, J Pan, K Cui, M Yuan, Q Hu, W Wang, PK Mohapatra, L Nie, J Huang and S Peng. Limitation of unloading in the developing grains is a possible cause responsible for low stem non-structural carbohydrate translocation and poor grain yield formation in rice through verification of recombinant inbred lines. Front. Plant Sci. 2017; 8, 1369.
Y Zhang, G Liu, W Huang, J Xu, Y Cheng, C Wang, T Zhu and J Yang. Effects of irrigation regimes on yield and quality of upland rice and paddy rice and their interaction with nitrogen rates. Agr. Water Manag. 2020; 241, 106344.
W Liang, Z Zhang, X Wen, Y Liao and Y Liu. Effect of non-structural carbohydrate accumulation in the stem pre-anthesis on grain filling of wheat inferior grain. Field Crop. Res. 2017; 211, 66-76.
RLA Abu, Z Basri and U Made. Response og growth and yield of rice (Oryza sativa L.) plant on the need for nitrogen using leaf color chart. Agroland 2017; 24, 119-27.
N Kartina, BP Wibowo, Y Widyastuti, IA Rumanti and Satoto. Correlation and path analysis for agronomic traits in hybrid rice. Jurnal Ilmu Pertanian Indonesia 2016; 21, 76-83.
A Alavan. Effect of fertilization on growth of upland rice varieties (Oryza sativa l.). Jurnal Floratek 2015; 10, 61-8.
NK Fageria, VC Baligar and RB Clark. Physiology of crop production. Food Products Press, New York, 2006.
Y Wakabayashi, R Morita, and N Aoki. Metabolic factors restricting sink strength in superior and inferior spikelets in high-yielding rice cultivars. J. Plant Physiol. 2021; 266, 153536.
T Stella, S Bregaglio and R Confalonieri. A model to simulate the dynamics of carbohydrate remobilization during rice grain filling. Ecol. Model. 2016; 320, 366-71.
J Yang and J Zhang. Crop management techniques to enhance harvest index in rice. J. Exp. Bot. 2010; 61, 3177-89.
S Yoshida. Fundamentals of rice crop science. The International Rice Research Institute, Los Banos, California, 1981.
A Yagioka, S Hayashi, K Kimiwada and M. Kondo. Sink production and grain-filling ability of a new high-yielding rice variety, Kitagenki. Field Crop. Res. 2021; 260, 107991.
S Yoshinaga, T Takai, Y Arai-Sanoh, T Ishimaru and M Kondo. Varietal differences in sink production and grain-filling ability in recently developed high-yielding rice (Oryza sativa L.) varieties in Japan. Field Crop. Res. 2013; 150, 74-82.
S Qiang, Y Zhang, J Fan, F Zhang, Y Xiang, S Yan and Y Wu. Maize yield, rainwater and nitrogen use efficiency as affected by maize genotypes and nitrogen rates on the Loess Plateau of China. Agr. Water Manag. 2019; 213, 996-1003.
SP Long, XG Zhu, SL Naidu and DR Ort. Can improvement in photosynthesis increase crop yields? Plant Cell Environ. 2006; 29, 315-30.
E Mareza, ZR Djafar, RA Suwignyo and DA Wijaya. Morphophysiological characters of rice ratoon from direct seeding in tidal swamp land. Jurnal Agronomi Indonesia 2017; 44, 228-34.
S Qiang, F Zhang, M Dyck, Y Zhang, Y Xiang and J Fan. Determination of critical nitrogen dilution curve based on leaf area index for winter wheat in the Guanzhong Plain, Northwest China. J. Integr. Agr. 2019; 18, 2369-80.
RD Taylaran, S Adachi, T Ookawa, H Usuda and T Hirasawa. Hydraulic conductance as well as nitrogen accumulation plays a role in the higher rate of leaf photosynthesis of the most productive variety of rice in Japan. J. Exp. Bot. 2011; 62, 4067-77.
X Mu and Y Chen. The physiological response of photosynthesis to nitrogen deficiency. Plant Physiol. Biochem. 2021; 158, 76-82.
AS Nehe, S Misra, EH Murchie, K Chinnathambi, BS Tyagi and MJ Foulkes. Nitrogen partitioning and remobilization in relation to leaf senescence, grain yield and protein concentration in Indian wheat cultivars. Field Crop. Res. 2020; 251, 107778.
B Hirel and A Krapp. Nitrogen utilization in plants I biological and agronomic importance. Elsevier Ltd, Versailles, France, 2021.
M Tegeder and C Masclaux-Daubresse. Source and sink mechanisms of nitrogen transport and use. New Phytologist 2018; 217, 35-53.
S Rahayu, M Ghulamahdi, WB Suwarno and DH Aswidinnoor. Panicle morphology of rice (Oryza sativa L.) under various application of nitrogen fertilizer. Jurnal Agronomi Indonesia 2018; 46, 145-52.
PJ Flood. Using natural variation to understand the evolutionary pressures on plant photosynthesis. Curr. Opin. Plant Biol. 2019; 49, 68-73.
PJ Flood, J Harbinson and MGM Aarts. Natural genetic variation in plant photosynthesis. Trends Plant Sci. 2011; 16, 327-35.
J Flexas. Genetic improvement of leaf photosynthesis and intrinsic water use efficiency in C3 plants: Why so much little success? Saudi J. Biol. Sci. 2017; 24, 180-91.
A He, W Wang, G Jiang, H Sun, M Jiang, J Man, K Cui, J Huang, S Peng and L Nie. Source-sink regulation and its effects on the regeneration ability of ratoon rice. Field Crop. Res. 2019; 236, 155-64.
R Sanchez-Bragado, R Vicente, G Molero, MD Serret, ML Maydup, and JL Araus. New avenues for increasing yield and stability in C3 cereals: exploring ear photosynthesis. Curr. Opin. Plant Biol. 2020; 56, 223-34.
F Zhen, J Zhou, A Mahmood, W Wang, X Chang, B Liu, W Cao, Y Zhu and L Tang. Quantifying the effects of short-term heat stress at booting stage on nonstructural carbohydrates remobilization in rice. Crop J. 2020; 8, 194-212.
Y Yang, G Lin, X Yu, Y Wu and F Xiong. Rice starch accumulation at different endosperm regions and physical properties under nitrogen treatment at panicle initiation stage. Int. J. Biol. Macromol. 2020; 160, 328-39.
D Zhu, H Zhang, B Guo, K Xu, Q Dai, C Wei, G Zhou and Z Huo. Effects of nitrogen level on structure and physicochemical properties of rice starch. Food Hydrocolloids 2017; 63, 525-32.
B Ruan, L Shang, B Zhang, J Hu, Y Wang, H Lin, A Zhang, C Liu, Y Peng, L Zhu, D Ren, L Shen, G Dong, G Zhang, D Zheng, L Guo, Q Qian, and Z Gao. Natural variation in the promoter of TGW2 determines grain width and weight in rice. New Phytologist 2020; 227, 629-40.
P Zhan, S Ma, Z Xiao, F Li, X Wei, S Lin, X Wang, Z Ji, J Pan, M Zhou, Y Liu, Z Chang, L Li, S Bu, Z Liu, H Zhu, G Liu, G Zhang and S Wang. Natural variations in grain length 10 (GL10) regulate rice grain size. J. Genet. Genom. 2022; 49, 405-13.
K Liu, M Li, B Zhang, X Yin, X Xia, M Wang and Y Cui. Poaceae orthologs of rice OsSGL, DUF1645 domain-containing genes, positively regulate drought tolerance, grain length and weight in rice. Rice Sci. 2022; 29, 257-67.
J Fu, Z Huang, Z Wang, J Yang and J Zhang. Pre-anthesis non-structural carbohydrate reserve in the stem enhances the sink strength of inferior spikelets during grain filling of rice. Field Crop. Res. 2011; 123, 170-82.
H Wang, N Pampati, WM McCormick and L Bhattacharyya. Protein nitrogen determination by kjeldahl digestion and ion chromatography. J. Pharmaceut. Sci. 2016; 105, 1851-7.
Downloads
Published
How to Cite
Issue
Section
License
Copyright (c) 2022 Walailak University

This work is licensed under a Creative Commons Attribution-NonCommercial-NoDerivatives 4.0 International License.



