Impact of Drying Methods on the Quality of Bioactive Components in Tree Tomato (Cyphomandra betacae)
DOI:
https://doi.org/10.48048/tis.2022.2060Keywords:
Tamarillo, Antioxidants, Carotene, Total phenols, Vitamin C, Freeze dryingAbstract
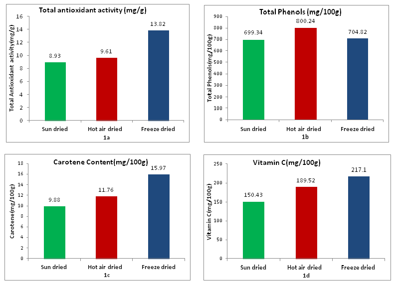
Tamarillo (Cyphomandra betacea) is a tree native to Peru and is cultivated in few areas of Western and Eastern Ghats in India. It has high nutritive and therapeutic value due to the abundance of health promoting substances. Owing to its high nutritive profile, a study was conducted to examine the nutritional composition of fresh fruits and dried fruit powder. Fresh Tamarillo was dried under different methods of drying (sun drying, cabinet/tray drying and freeze drying). The dried samples were made into powder and used for comparative analysis of various bioactive constituents and antioxidants (antioxidant activity, total phenols, carotene, vitamin C, colour value, elemental analysis). From the results it was observed that the samples dried under freeze dried condition exhibited better antioxidant activity (13.82 mg/g), carotene (15.97 mg/100 g), vitamin C content (217.1 mg/100 g) than that of the samples dried under sun drying and cabinet tray drying. This might be due to long exposure time and leaching effect of the tamarillo samples to air. Among the three drying methods, sun drying resulted in significant micronutrient loss and exhibited low antioxidant activity due to the use of uncontrolled temperature during drying process. This underutilized fruit is consumed in the fresh form as it is a seasonal fruit. Converting the seasonal fruit into dried or powder form will help in development of nutria-rich food products.
HIGHLIGHTS
- Tamarillo is an underutilized fruit that possesses higher nutritional and therapeutic values. The extract of the fruits also contains a wide range of antioxidant activities
- Study on the nutritional profile and antioxidant activity of tamarillo was conducted with the samples dried under different drying conditions (sun drying, cabinet tray drying and freeze drying)
- The samples dried under freeze dried condition exhibited better antioxidant activity
- The tamarillo fruits could be a better source to develop antioxidant rich value-added products, nutraceuticals and bio colorant
GRAPHICAL ABSTRACT
Downloads
References
J Prohens and F Nuez. The Tamarillo (Cyphomandra betacea) - a review of a promising small fruit crop. Small Fruits Rev. 2001; 1, 43-68.
PG Acosta-Quezada, MD Raigon, T Riofrio-Cuenca, MD Garcia-Martinez, M Plazas and JI Burneo. Diversity for chemical composition in a collection of different varietal types of tree tomato (Solanum betaceum Cav.), an Andean exotic fruit. Food Chem. 2015; 169, 327-35.
C Osorio, N Hurtado, C Dawid, T Hofmann, FJ Heredia-Mira and AL Morales. Chemical characterisation of anthocyanins in tamarillo (Solanum betaceum Cav.) and Andes berry (Rubus glaucus Benth.) fruits. Food Chem. 2012; 132, 1915-21.
MA Mutalib, A Rahmat, F Ali, F Othman and R Ramasamy. Nutritional compositions and anti-proliferative activities of different solvent fractions from ethanol extract of (tamarillo) fruit. Malays. J. Med. Sci. 2017; 24, 19-32.
GED Nascimento, CR Corso, W de Paula, F Maria, CH Baggio and M Iacomini. Structure of an arabinogalactan from the edible tropical fruit tamarillo (Solanum betaceum) and its antinociceptive activity. Carbohydr. Polym. 2015; 116, 300-6.
S Espin, S Gonzalez-Manzano, V Taco, C Poveda, B Ayuda-Duran and AM Gonzalez-Paramas. Phenolic composition and antioxidant capacity of yellow and purple-red ecuadorian cultivars of tree tomato (Solanum betaceum Cav). Food Chem. 2016; 194, 1073-80.
D Giuffrida, M Zoccali, A Arigo, F Cacciola, CO Roa and P Dugo. Comparison of different analytical techniques for the analysis of carotenoids in tamarillo (Solanum betaceum Cav.). Arch. Biochem. Biophys. 2018; 646, 161-7.
DD Achicanoy, AH Benavides and HA Martinez-Correa. Study of supercritical CO2 extraction of tamarillo (Cyphomandra betacea) seed oil containing high added value compounds. Electrophoresis 2018; 39, 1917-25.
VV De Rosso and AZ Mercadante. HPLC-PDA-MS/MS of anthocyanins and carotenoids from dovyalis and tamarillo fruits. J. Agr. Food Chem. 2007; 55, 9135-41.
SHA Hassan and MFA Bakar. Antioxidative and anticholinesterase activity of Cyphomandra betacea fruit. Sci. World J. 2013; 2013, 278071.
Y Ramakrishnan, NM Adzahan, YA Yusof and K Muhammad. Effect of wall materials on the spray drying efficiency, powder properties and stability of bioactive compounds in tamarillo juice microencapsulation. Powder Tech. 2018; 328, 406-14.
Z Li, K Scott, Y Hemar, H Zhang and D Otter. Purification and characterisation of a protease (tamarillin) from tamarillo fruit. Food Chem. 2018; 256, 228-34.
Z Li, K Scott, D Otter, P Zhou and Y Hemar. Effect of temperature and pH on the properties of skim milk gels made from a tamarillo (Cyphomandra betacea) coagulant and rennet. J. Dairy Sci. 2018; 101, 4869-78.
D Susanti, M Nafi, H Purwaningsih, R Fajarin and GE Kusuma. The preparation of dye densitized dolar cell (DSSC) from TiO2 and tamarillo extract. Proc. Chem. 2014; 9, 3-10.
AW Septama, N Simbak and EP Rahmi. Prospect of plant based flavonoids to overcome antibacterial resistance: A mini review. Walailak J. Sci. Tech. 2020; 5, 503-13.
FA Mutalib. Phenolics profile and anti-proliferative activity of Cyphomandra Betacea. Springerplus. 2016; 5, 2105.
JD Carneiro, RM Nogueira, MA Martins, DM Valladao and EM Pires. The oven-drying method for determination of water content in Brazil nut. Biosci. J. 2018; 34, 595-602.
SC Lister. The nutritional composition and health benefits of New Zealand tamarillos. New Zealand Institute for Crop & Food Research Limited, New Zealand, 2005.
A Bucić-Kojić, M Planinić, S Tomas, L Jakobek and Marijan Šeruga. Influence of solvent and temperature on extraction of phenolic. Int. J. Food Sci. Tech. 2009; 44, 2394-401.
DA Horneck and RO Miller. Determination of total nitrogen in plant tissue. In: YP Kalra (Ed.). Handbook of reference methods for plant analysis. CRC Press, Boca Raton, Florida, 1988, p. 75-84.
P Sáez-Plaza, MJ Navas, S Wybraniec, T Michałowski and AG Asuero. An overview of the kjeldahl method of nitrogen determination. Part II. sample preparation, working scale, instrumental finish, and quality control. Crit. Rev. Anal. Chem. 2013; 43, 224-72.
AACC International Method. Total Dietary Fiber Final approval. 11th ed. AACC International Method, 1991.
A Sluiter, B Hames, R Ruiz, C Scarlata, J Sluiter and D Templeton. Determination of ash in biomass. National Renewable Energy Laboratory, Golden, Colorado, 2005.
N Agrawal, DK Minj and K Rani. Estimation of total carbohydrate present in dry fruits. J. Environ. Sci. Toxicol. Food Tech. 2015; 1, 24-7.
M Vijayalakshmi and K Ruckmani. Ferric reducing anti-oxidant power assay in plant extract. Bangladesh J. Pharmacol. 2016; 11, 570-2.
SA Baba and SA Malik. Determination of total phenolic and flavonoid content, antimicrobial and antioxidant activity of a root extract of Arisaema jacquemontii Blume. J. Taibah Univ. Sci. 2015; 9, 449-54.
FS India. Manual of methods of analysis of foods. Government of India, New Delhi, India, 2015, p. 1552-64.
B Katangodage. Experiments. Available at: http://experimentsbudrockz.blogspot.com/2009/09/ food-science-experiment-vitamin-c.html, accessed May 2020.
S Fengxia, Z Dishun and Z Zhanming. Determination of oil color by image analysis. J. Am. Oil Chem. Soc. 2001; 78, 749-52.
C Vasco, J Avila, J Ruales, U Svanberg and A Kamal-Eldin. Physical and chemical characteristics of golden-yellow and purple-red varieties of tamarillo fruit (Solanum betaceum Cav.). Int. J. Food Sci. Nutr. 2009; 60, 278-88.
S Wang and F Zhu. Tamarillo (Solanum betaceum): Chemical composition, biological properties, and product innovation. Trends Food Sci. Tech. 2020; 95, 45-58.
JCC Chan, PCK Cheung and PO Ang. Comparative studies on the effect of three drying methods on the nutritional composition of seaweed Sargassum hemiphyllum (Turn.) C. Ag. J. Agr. Food Chem. 1997; 45, 3056-9.
CD Nora, CDR Muller, GSD Bona, ADO Rios, PF Hertz, A Jablonski, EVD Jong and SH Flores. Effect of processing on the stability of bioactive compounds from red guava (Psidium cattleyanum Sabine) and guabiju (Myrcianthes pungens). J. Food Compos. Anal. 2014; 34, 18-25.
EI Mejia-Meza, JA Yanez, CM Remsberg, JK Takemoto, NM Davies, B Rasco and C Clary. Effect of dehydration on raspberries: polyphenol and anthocyanin retention, antioxidant capacity, and antiadipogenic activity. J. Food Sci. 2010; 75, H5-H12.
OA Gumusay, AA Borazan, N Ercal and O Demirkol. Drying effects on the antioxidant properties of tomatoes and ginger. Food Chem. 2015; 173, 156-62.
V Lavelli, S Hippeli, C Peri and EF Elstner. Evaluation of radical scavenging activity of fresh and air-dried tomatoes by three model reactions. J. Agr. Food Chem. 1999; 47, 3826-31.
M Turkyilmaz, M Ozkan and N Guzel. Loss of sulfur dioxide and changes in some chemical properties of Malatya apricots (Prunus armeniaca L.) during sulfuring and drying. J. Sci. Food Agric. 2014; 94, 2488-96.
APK Joshi, HPV Rupasinghe and S Khanizadeh. Impact of drying processes on bioactive phenolics, vitamin C and antioxidant capacity of red-fleshed apple slices. J. Food Proc. Pres. 2011; 35, 453-7.
C Nindo, T Sun, SW Wang, J Tang and JR Powers. Evaluation of drying technologies for retention of physical quality and antioxidants in asparagus (Asparagus officinalis L.). LWT Food Sci. Tech. 2003; 36, 507-16.
Downloads
Published
How to Cite
Issue
Section
License

This work is licensed under a Creative Commons Attribution-NonCommercial-NoDerivatives 4.0 International License.



